ID | 67596 |
フルテキストURL | |
著者 |
Nakamura, Naoki
Department of Hematology, Oncology, and Respiratory Medicine, Okayama University Graduate School of Medicine, Dentistry and Pharmaceutical Sciences
Makimoto, Go
Department of Allergy and Respiratory Medicine, Okayama University Hospital
Tanaka, Takaaki
Department of Hematology, Oncology, and Respiratory Medicine, Okayama University Graduate School of Medicine, Dentistry and Pharmaceutical Sciences
Kato, Yuka
Center of Innovative Clinical Medicine, Okayama University Hospital
Oze, Isao
Division of Cancer Epidemiology and Prevention, Aichi Cancer Center Research Institute
Kozuki, Toshiyuki
Department of Respiratory Medicine, Shikoku Cancer Center
Yokoyama, Toshihide
Department of Respiratory Medicine, Kurashiki Central Hospital
Ichikawa, Hirohisa
Department of Respiratory Medicine, KKR Takamatsu Hospital
Kuyama, Shoichi
Department of Respiratory Medicine, Iwakuni Clinical Center
Hara, Naofumi
Department of Respiratory Medicine, Okayama Rosai Hospital
Maeda, Yoshinobu
Department of Hematology, Oncology, and Respiratory Medicine, Okayama University Graduate School of Medicine, Dentistry and Pharmaceutical Sciences
Kaken ID
researchmap
Hotta, Katsuyuki
Center of Innovative Clinical Medicine, Okayama University Hospital
Kaken ID
publons
researchmap
|
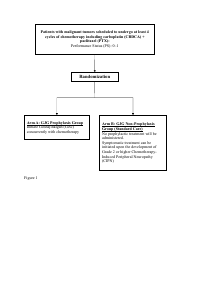
抄録 | Background: Paclitaxel (PTX) is an essential cytotoxic anticancer agent and a standard treatment regimen component for various malignant tumors, including advanced unresectable non-small cell lung cancer, thymic cancer, and primary unknown cancers. However, chemotherapy-induced peripheral neuropathy (CIPN) caused by PTX is a significant adverse event that may lead to chemotherapy discontinuation and deterioration of the quality of life (QOL). Although treatment modalities such as goshajinkigan (GJG), pregabalin, and duloxetine are empirically utilized for CIPN, there is no established evidence for an agent as a preventive measure. We designed a randomized phase II trial (OLCSG2101) to investigate whether prophylactic GJG administration can prevent the onset of CIPN induced by PTX.
Methods: This study was designed as a two-arm, prospective, randomized, multicenter phase II trial. The patients will be randomly assigned to either the GJG prophylaxis arm (Arm A) or the GJG non-prophylaxis arm (Arm B), using cancer type (lung cancer or not) and age (<70 years or not) as adjustment factors. A total of 66 patients (33 in each arm) will be enrolled. Discussion: The results of this study may contribute to better management of CIPN, which can enable the continuation of chemotherapy and maintenance of the patient's QOL. Ethics and dissemination: Ethical approval was obtained from the certified review board of Okayama University (approval no. CRB21-005) on September 28, 2021. Results will be published in peer-reviewed journals and presented at national and international conferences. Trial registration: Japan Registry of Clinical Trials (registration number jRCTs061210047). |
キーワード | Kampo
CIPN
prophylaxis
neuropathy
taxane
|
備考 | © 2024 The Japanese Respiratory Society. This manuscript version is made available under the CC-BY-NC-ND 4.0 license https://creativecommons.org/licenses/by-nc-nd/4.0/
This fulltext file will be available in Aug. 2025.
|
発行日 | 2024-09
|
出版物タイトル |
Respiratory Investigation
|
巻 | 62巻
|
号 | 5号
|
出版者 | Elsevier BV
|
開始ページ | 897
|
終了ページ | 900
|
ISSN | 2212-5345
|
NCID | AA12579673
|
資料タイプ |
学術雑誌論文
|
言語 |
英語
|
OAI-PMH Set |
岡山大学
|
著作権者 | © 2024 The Japanese Respiratory Society.
|
論文のバージョン | author
|
PubMed ID | |
DOI | |
Web of Science KeyUT | |
関連URL | isVersionOf https://doi.org/10.1016/j.resinv.2024.07.017
|
ライセンス | https://creativecommons.org/licenses/by-nc-nd/4.0/
|
助成機関名 |
Okayama University Hospital
|